遇氧而“殁”过氧而“生”
光照+氧气和CH3NH3PbI3钙钛矿激发态寿命/稳定性的相爱相杀
杂化有机-无机金属钙钛矿太阳能电池自2009年在实验室被制备出来以后,其光电转换效率从3.8%迅速攀升到2019年的25.2%,接近硅太阳能电池的最高效率。但是,钙钛矿材料稳定性差制约了其商业化应用。同时,由于材料降解也加速了非辐射电荷和能量损失,阻碍了器件效率的持续提升。因此,研究电池工作环境对钙钛矿材料稳定性和激发态寿命的影响可以给器件优化提供建设性的指导意见和实用策略。
众多实验报道,黑暗条件下,氧气对MAPbI3(MA=CH3NH3+)稳定性无明显不利影响,但激发态寿命显著下降;光照条件下,氧气加快钙钛矿降解,但激发态寿命呈现复杂情形:部分实验报导激发态寿命迅速降低,还有一部分实验报导MAPbI3暴露在氧气中,载流子寿命显著提升。这些实验事实表明,中性O2捕获一个或两个光激发MAPbI3电子,转化为超氧 O2-1和过氧O2-2,它们均降低MAPbI3的稳定性,孰轻孰重未知。同时,氧的具体物种对MAPbI3激发寿命正面和负面影响的内在机制不清楚。
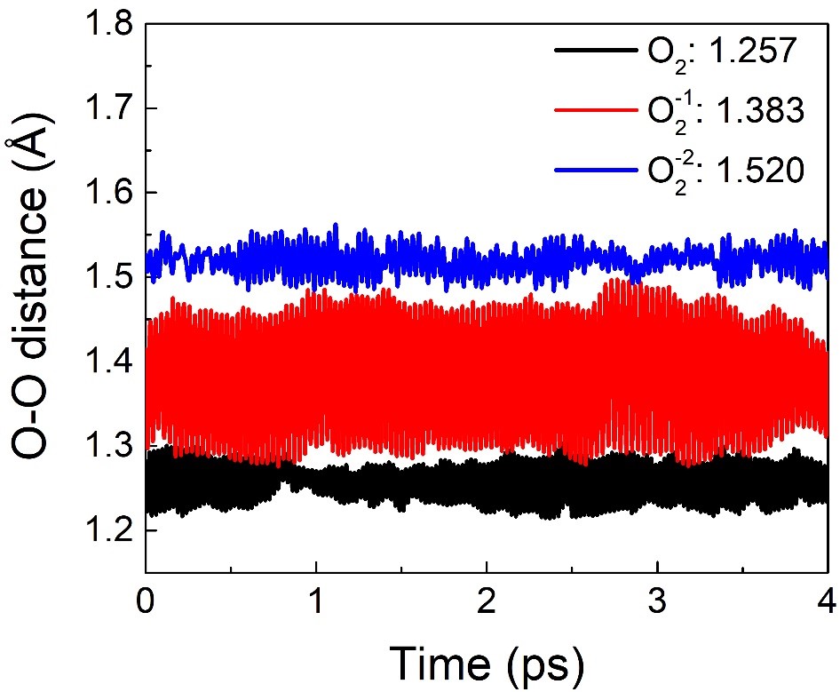
针对上述两个关键科学问题,51吃瓜 龙闰教授、方维海院士课题组和南加州大学Oleg Prezhdo教授合作,采用组合含时密度泛函理论和非绝热分子动力学模拟,研究了黑暗/光照条件下氧气对钙钛矿MAPbI3降解过程和载流子动力学的影响。图1表明,中性O2和过氧O2-2掺杂的MAPbI3体系,O-O距离随温度涨落很小。这是因为O2与O2-2保持了对称性,两个O原子/离子相互之间无明显拉伸而呈现整体运动。但是,过氧的O-O距离比中性O2的O-O距离大,增强了O离子与晶格Pb相互作用,破坏Pb-I键,降低了钙钛矿稳定性。在超氧O2-1掺杂的MAPbI3体系,热运动导致O-O距离波动更显著,表明超氧O2-1具有更强的化学反应性,更容易坏Pb-I化学键。但是,超氧可以通过吸引一个电子而还原为过氧,一定程度地遏制了其不利影响。因此,在稳定性角度考虑,两害相权取其轻,采取合适的实验手段将钙钛矿材料中的超氧转换为过氧,是降低氧气不利影响的一种方法。

图1. 中性O2, 超氧(O2-1),过氧(O2-2)掺杂的MAPbI3体系分子动力学轨迹的O-O距离随时间的演化关系。插图的数值表示300 K时O−O距离的系综平均值。

图2. MAPbI3和O2, O2-1和O2-2掺杂的MAPbI3的电子结构和载流子动力学示意图。
电子结构计算表明(图2), O2在MAPbI3禁带中引入了两个深能级电子捕获态,中性O2吸收一个电子转变为超氧O2-1,增加了两个缺陷态之间的排斥作用,使得其中一个电子态变为空穴捕获态;再吸收第二个电子将超氧转化为过氧O2-2,消除了带隙间的缺陷态。动力学计算进一步表明(图3),与完美MAPbI3相比,中性O2产生的电子捕获态使激发态寿命降低了一个数量级,而超氧O2-1掺杂的MAPbI3中的电子/空穴捕获态共存,使激发态寿命降低了两个数量级。过氧O2-2掺杂的MAPbI3电子-空穴复合发生在导带底和价带顶之间,两电子态之间的非绝热耦合减小、退相干时间缩短,从而将载流子寿命延长了两倍多。因此,从动力学角度考虑,我们也应该大力避免超氧化物,可以接受过氧化物。
本文(J. Am. Chem. Soc., 2020, DOI: 10.1021/jacs.0c06769)详细研究了氧气和光照与钙钛矿性能影响之间的复杂相互作用,厘清了氧相关物种对MAPbI3稳定性和激发态寿命的影响及其机理,为高性能太阳能电池的设计提供了有价值的理论指导。

图3. MAPbI3和O2,O2-1和O2-2掺杂MAPbI3体系中的电荷俘获和复合动力学。